
环氧树脂的种类很多,并且不断有新品种出现。环氧树脂的分类方法也很多。通常按其化学结构和环氧基的结合方式大体上分为五大类:(1)缩水甘油醚类,(2)缩水甘油酯类,(3)缩水甘油胺类,(4)脂肪族环氧化合物,(5)脂环族环氧化合物。
下面详细介绍一下常见环氧树脂的类型及特点。
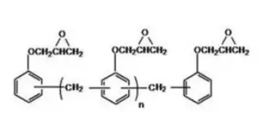
①双酚A型环氧树脂
双酚A(即二酚基丙烷)型环氧树脂即二酚基丙烷缩水甘油醚。在环氧树脂中它的原材料易得、成本最低,因而产量最大。其在我国约占环氧树脂总产量的90%,在世界约占环氧树脂总产量的75%~80%。
因其用途最广,故被称为通用型环氧树脂。
双酚A型环氧树脂的分子结构决定了它的性能具有热固性,能与多种固化剂,催化剂及添加剂形成多种性能优异的固化物,几乎能满足各种使用需求。主要缺点是:耐热性和韧性不高,耐湿热性和耐候性差。
②双酚F型环氧树脂
这是为了降低双酚A型环氧树脂本身的粘度并具有同样性能而研制出的一种新型环氧树脂。通常是用双酚F(二酚基甲烷)与环氧氯丙烷在NaOH作用下反应而得的液态双酚F型环氧树脂。
双酚F型环氧树脂的特点是黏度小,不到双酚A型环氧树脂黏度的1/3,对纤维的浸渍性好。其固化物的性能与双酚A型环氧树脂几乎相同,但耐热性稍低而耐腐蚀性稍优。液态双酚F型环氧树脂可用于无溶剂涂料、胶粘剂、铸塑料、玻璃钢及碳纤维复合材料等。
③多酚型缩水甘油醚环氧树脂
多酚型缩水甘油醚环氧树脂是一类多官能团环氧树脂。在其分子中有两个以上的环氧基,因此固化物的交联密度大,具有优良的耐热性、强度、模量、电绝缘性、耐水性和耐腐蚀性。
④脂肪族缩水甘油醚环氧树脂
脂肪族缩水甘油醚环氧树脂是由二元或多元醇与环氧氯丙烷在催化剂作用下开环醚化,生成氯醇中间产物,再与碱反应,脱HCl闭环,形成缩水甘油醚。
脂肪族缩水甘油醚环氧树脂是由二个或二个以上环氧基与脂肪链直接相连而成。在分子结构里没有苯环、脂环和杂环等环状结构。这类树脂绝大多数粘度很小,大多数品种居于偶水溶性,大多数是长链型分子,因此富有柔韧性。但其耐热性较差。
⑤缩水甘油酯类环氧树脂
缩水甘油胺型环氧树脂和二酚基丙烷环氧化树脂比较,具有粘度低,使用工艺性好;粘合力比通用环氧树脂高,固化物力学性能好;电绝缘性好、耐气候性好,并且具有良好的耐超低温性,在超低温条件下,仍具有比其它类型环氧树脂高的粘结强度。有较好的表面光泽度,透光性、耐气候性好。
⑥脂环族环氧树脂
脂环族环氧树脂是低分子化合物,黏度小、工艺性好。可作为活性稀释剂用。环氧当量小,交联密度大,再加上有热稳定性好的刚性脂环,因此耐热性高,但较脆,韧性差。固化收缩小,拉伸强度高。由于合成过程中不含Cl、Na等离子,所以电性能好,尤其是高温电性能及耐电弧性好。不含苯环,因而耐紫外线及耐候性好。